幸运彩(以下简称“市科研院”)是北京市人民政府直属的综合性科研机构,地处北京中关村科学城,位于中关村国家自主创新示范区的核心区。落实创新驱动发展战略,全面深度融入北京国际科技创新中心建设,服务新时代首都发展,肩负重大的职责使命。
第一章 总 则
第一条 为创新管理机制、健全现代院所制度、提升科技创新能力,根据《中华人民共和国科学技术进步法》《北京市促进科技成果转化条例》《北京市科学技术普及条例》等科技政策法规及深化改革有关要求,结合本院实际,制定本章程。
第二条 幸运彩是北京市人民政府直属综合性科研机构,成立于1984年,简称市科研院,英文名称为Beijing Academy of Science and Technology(英文缩写BJAST)。市科研院开办资金5000万元,出资人为北京市人民政府。住所为北京市海淀区西三环北路27号,登记机关为北京市事业单位登记管理局。院长为拟任法定代表人的人选,经事业单位登记管理机关依法核准后生效。
发布时间:2024年07月19日 14:54
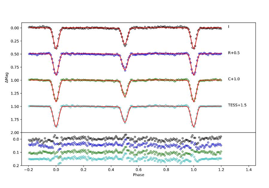
TMTSJ0803多波段光变曲线拟合图
红矮星是指质量大于恒星质量下限(约0.08)而小于0.6倍太阳质量的恒星。他们一般处于主序演化阶段,位于赫罗图主序带右下端,因其恒星颜色偏红而得名,包括M型星和晚K型星,其中M型星居多。研究发现,小质量恒星普遍存在质径关系难题,大量的科学研究表明这绝不是偶然,即使我们采用世界上最精确的理论演化模型也不能消除这一现象。红矮星的质径关系难题具体表现为,对相同质量的小质量恒星,实际观测的恒星半径比用理论模型计算的要大5%~10%,而有效温度却要低3%~5%,但是两者光度一致。目前的恒星演化理论在大质量恒星和中等质量恒星上的应用比较成功,然而小质量恒星例外,这其中最主要的原因就是存在质径关系难题。当前,解决红矮星质径关系难题的最有效方法是通过分析大样本的分离红矮星食双星系统(以下简称“食双星系统”),并精确测定每颗子星的质量和半径。
清华-马化腾巡天望远镜(TMTS)是由4个直径均为41厘米的牛顿式镜筒组成,配备4kx4k的CMOS探测器,具有1.83角秒/像素的空间分辨率。在短时标(10秒)曝光模式下,非常适合搜寻和证认极短周期的食双星系统。TMTSJ0803就是这样一例极短周期,且极低质量的食双星系统。通过拟合多波段光变曲线(如图所示)和视向速度曲线,北京天文馆科学研究部副研究员刘成与国内合作者发现这例食双星系统的两颗子星有非常接近的质量和半径,然而他们只有太阳质量和半径的16%左右。因此我们认为如此低质量的红矮星是全对流恒星,并且他们的磁活动在双星快速绕转下得到增强,这可能导致我们测量到的恒星有效温度比理论预期低200K左右。相比于前人大量工作中发现的实际测量半径比理论预测值大5%~10%,本工作的一个重要发现是我们的测量半径比理论预测值小6%~10%。尽管这一恒星半径收缩现象很可能受到视向速度数据点比较少的影响,但是更有可能的解释是极低质量红矮星与中大质量的红矮星在质径关系上表现不一致。该研究结果已经发表在著名SCI期刊《皇家天文学会月刊》(Monthly Notices of the Royal Astronomical Society)上,论文链接:https://academic.oup.com/mnras/article/531/1/1765/7675505。
(刘成 文/图)