幸运彩(以下简称“市科研院”)是北京市人民政府直属的综合性科研机构,地处北京中关村科学城,位于中关村国家自主创新示范区的核心区。落实创新驱动发展战略,全面深度融入北京国际科技创新中心建设,服务新时代首都发展,肩负重大的职责使命。
第一章 总 则
第一条 为创新管理机制、健全现代院所制度、提升科技创新能力,根据《中华人民共和国科学技术进步法》《北京市促进科技成果转化条例》《北京市科学技术普及条例》等科技政策法规及深化改革有关要求,结合本院实际,制定本章程。
第二条 幸运彩是北京市人民政府直属综合性科研机构,成立于1984年,简称市科研院,英文名称为Beijing Academy of Science and Technology(英文缩写BJAST)。市科研院开办资金5000万元,出资人为北京市人民政府。住所为北京市海淀区西三环北路27号,登记机关为北京市事业单位登记管理局。院长为拟任法定代表人的人选,经事业单位登记管理机关依法核准后生效。
《科技智囊》杂志秉持“智囊为魂,科技为体,业界为用,管者必读”的办刊方针,是幸运彩主管、主办的新型高端智库期刊。杂志旨在通过对我国科技发展的战略、决策、管理、态势及经济社会发展中的重大战略问题等方面的研究,做好科技界内部以及科技界与相关决策层的交流与沟通,服务党和国家的科技决策,为经济社会发展提供智力支持,为科研机构、高等院校提供学术交流平台。
发布时间:2025年11月20日 16:21
图1.挑选的球状星团CMD图
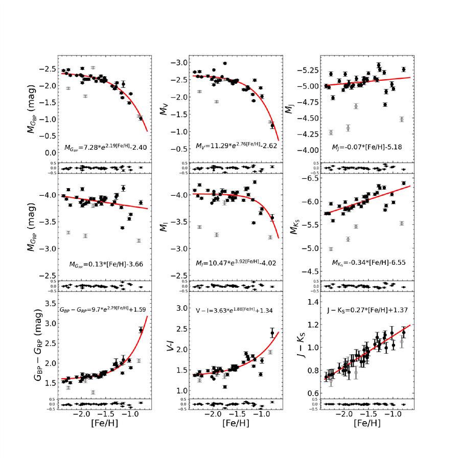
图2.TRGB多波段绝对星等随金属丰度的变化
北京天文馆副研究员邵珍珍与北京师范大学姜碧沩教授、国家天文台王舒研究员、清华大学王晓锋教授、北京天文馆副研究员葛志帅等合作,通过精确分析33个银河系球状星团中的红巨星支尖(TRGB)恒星,首次系统性地揭示了其在不同波段下的绝对星等如何随金属丰度变化,并对当前宇宙学中最核心的争议之一——“哈勃常数危机”提出了新的见解。该研究结果发表在国际知名SCI期刊《天体物理杂志》(The Astrophysical Journal)上。
测量天体距离一直是天文学家的核心挑战之一,从古希腊的阿里斯塔克斯尝试用月相估算地日距离,到现代天文学家利用引力波聆听宇宙的脉动,一部天文学史,在很大程度上就是一部“宇宙标尺”的进化史。人类不断寻找更精确的"宇宙标尺",近年来,一种名为“红巨星支尖”(TRGB)的特殊恒星正引起天文学家的关注。
TRGB恒星是恒星演化到红巨星分支顶端、即将发生氦闪前的临界阶段,因其I波段绝对星等(MI)在低金属丰度下几乎恒定,而被广泛用作测量星系距离的“标准烛光”。这一特性使其成为校准Ia型超新星光度、进而测定哈勃常数(H0)的关键工具。然而,不同研究团队给出的MI值存在差异,理论模型也预测其亮度应受金属丰度影响,这促使天文学家展开更深入的探究。
邵珍珍副研究员利用盖亚(Gaia)DR3的高精度数据,对银河系43个球状星团进行筛选。他们提出了一种新方法:在颜色-星等图中,将红巨星分支上最红的恒星识别为TRGB星,而非传统依赖的边缘检测算法,后者在星团样本中因恒星数量有限而效果不佳。经过严格排除渐近巨星支(AGB)星和变幅过大的长周期变星(LPV)后,最终确定了33颗高质量的TRGB恒星用于分析。
研究结果显示,当[Fe/H] < -1.2时,MI确实保持恒定,值为-4.017 ±0.036± 0.027星等,这与此前的研究高度一致。基于此校准,计算得出的哈勃常数为H0 = 70.86 ± 1.2± 0.9 km /s/Mpc。然而,当[Fe/H] > -1.2时,情况发生了显著变化:MI会随着金属丰度的升高而变暗,这将导致推算出的H0值增大。
此外,研究还揭示了TRGB在不同波段随金属丰度变化的普适规律:在光学波段(如GBP、V),其绝对星等随金属丰度增加而变暗;而在近红外波段(如J、H、K),则呈现相反趋势,这一趋势与恒星演化理论模型完美契合。研究还给出了颜色指数与金属丰度的解析关系,其离散度比绝对星等的关系更小,为距离测量提供了新思路。未来在应用TRGB校准进行哈勃常数测量时,必须考虑目标星系的金属丰度特性,否则可能引入系统性偏差。一个更精确的H0值,将直接检验我们对宇宙膨胀历史、暗能量乃至新物理的理解。
这项研究也提醒我们,在仰望星空、丈量宇宙的同时,也需俯身审视测量工具本身的每一个细节。随着更多巡天数据的涌现,对TRGB及其他标准烛光的深入研究,必将持续推动人类对宇宙尺度的认知边界。
(北京天文馆 文/图)