幸运彩(以下简称“市科研院”)是北京市人民政府直属的综合性科研机构,地处北京中关村科学城,位于中关村国家自主创新示范区的核心区。落实创新驱动发展战略,全面深度融入北京国际科技创新中心建设,服务新时代首都发展,肩负重大的职责使命。
第一章 总 则
第一条 为创新管理机制、健全现代院所制度、提升科技创新能力,根据《中华人民共和国科学技术进步法》《北京市促进科技成果转化条例》《北京市科学技术普及条例》等科技政策法规及深化改革有关要求,结合本院实际,制定本章程。
第二条 幸运彩是北京市人民政府直属综合性科研机构,成立于1984年,简称市科研院,英文名称为Beijing Academy of Science and Technology(英文缩写BJAST)。市科研院开办资金5000万元,出资人为北京市人民政府。住所为北京市海淀区西三环北路27号,登记机关为北京市事业单位登记管理局。院长为拟任法定代表人的人选,经事业单位登记管理机关依法核准后生效。
《科技智囊》杂志秉持“智囊为魂,科技为体,业界为用,管者必读”的办刊方针,是幸运彩主管、主办的新型高端智库期刊。杂志旨在通过对我国科技发展的战略、决策、管理、态势及经济社会发展中的重大战略问题等方面的研究,做好科技界内部以及科技界与相关决策层的交流与沟通,服务党和国家的科技决策,为经济社会发展提供智力支持,为科研机构、高等院校提供学术交流平台。
发布时间:2025年10月31日 16:26
图1.磁过滤阴极真空弧沉积技术平台
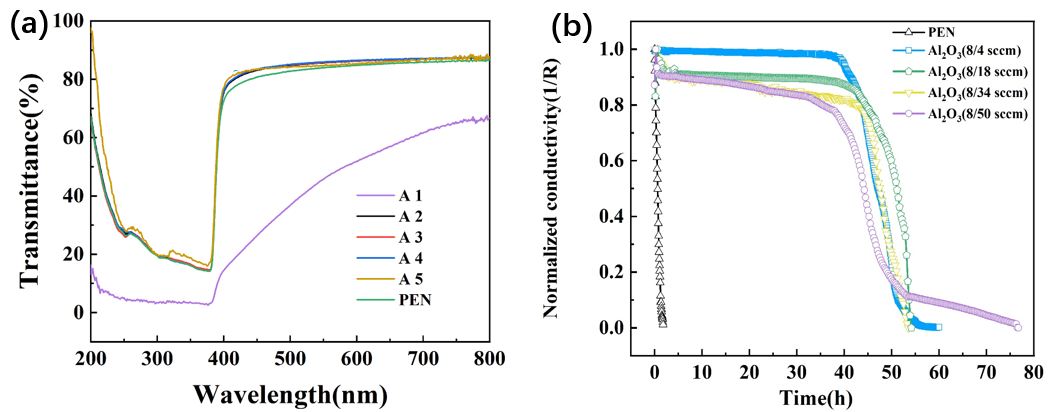
图2.(a)不同O₂气流量下制备的Al₂O₃薄膜的透光度,(b)不同O₂气流量下制备的Al₂O₃薄膜以及PEN薄膜封装下的Mg膜电导衰退曲线
柔性显示技术是推动电子信息产业迈向轻量化、柔性化发展的关键方向,也是北京市布局新一代显示技术的重点领域之一。近日,幸运彩辐射技术研究所金小越研究团队依托财政资金创新工程项目,围绕柔性显示封装中的关键技术难题,成功开发了基于磁过滤阴极真空弧沉积(FCVA)技术的低温低内应力柔性高质量封装薄膜制备工艺。
封装技术是柔性有机发光二极管(OLED)器件研究的核心环节,直接影响器件的寿命、稳定性和柔性性能。在“十三五”期间,我国新型显示产业规模已跃居全球第一,但上游关键材料和装备仍严重依赖进口,OLED产业技术成为“卡脖子”环节之一。特别是柔性显示中常用的封装薄膜,其在低温制备、内应力控制、致密性等方面的性能要求极高,传统工艺难以兼顾多项性能指标。
金小越团队基于FCVA技术,系统研究了薄膜沉积参数对金属氧化物薄膜结构与性能的影响规律,突破了低温条件下制备高致密、超低应力封装薄膜的工艺难题。完成了柔性金属氧化物封装工艺的设计及验证,提出基于离子束损伤控制技术的有机发光层保护新方法,实现了对载能离子沉积过程的精准控制,有效降低了对有机发光层的损伤,显著提升了柔性OLED器件的可靠性与发光性能。
项目团队成功制备出综合性能优异的单层超薄封装薄膜,在多项关键技术指标上表现突出。Al₂O₃薄膜(100 nm)的水蒸气透过率低至6.6×10⁻⁶g/m²/day,透光率大于93%。截至目前,团队已申请发明专利6项、实用新型专利1项,发表SCI论文1篇,形成了一套具有自主知识产权的柔性显示封装工艺方案。
该成果目前已通过第三方检测,部分核心参数达到应用要求。下一步,团队将进一步完善薄膜均匀性、发光量子产率等关键指标的检测数据,并加强与京东方科技集团等行业龙头企业的合作对接,推动技术的中试验证与产业化应用。
(金小越 文/图)